获多个国际首次发现 中国天眼有望确定快速射电暴中心引擎机制
中新网北京9月21日电 (记者 孙自法)作为宇宙中偶发的射电爆发事件,快速射电暴(fast radio burst,FRB)自2007年首次被发现至今已经观测到数百个,但其起源、能源机制仍然成谜,吸引全球天文学家持续观测研究,更因其可能为外星人向地球发送信号的猜测广为流传而备受大众关注。
获得迄今最大快速射电暴偏振观测样本
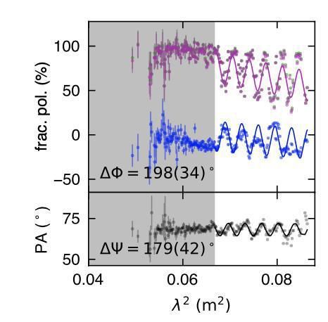
利用中国科学院国家天文台运行的被誉为中国天眼的500米口径球面射电望远镜(FAST),FAST快速射电暴优先和重大项目科学研究团队通过对编号为FRB 20201124A的快速射电暴开展深度观测,获得迄今最大的快速射电暴偏振观测样本,首次探测到距离快速射电暴中心仅1个天文单位(即太阳到地球的距离)的周边环境的磁场变化,取得多个国际首次的重要发现,从而为确定快速射电暴中心引擎机制迈出关键一步。
这次研究中,FAST快速射电暴优先和重大项目科研团队利用中国天眼对位于银河系外的FRB 20201124A进行长期监测,在54天内共计82小时观测中测到来自该快速射电暴的1863个爆发脉冲信号,成为迄今最大的快速射电暴偏振观测样本,它的高事件率也使其成为最活跃的几个重复暴之一。
由中国科学家通过中国天眼合作完成的这项重要天文研究成果论文,北京时间9月21日夜间在国际著名学术期刊《自然》上线发表。
取得若干重要发现均属国际首次
FAST快速射电暴优先和重大项目科研团队介绍说,基于中国天眼观测到的迄今最大快速射电暴偏振观测样本,该团队取得若干重要发现,均属于国际首次。
一是“拍摄”到快速射电暴法拉第旋转量(可帮助测量环境中的磁场强度)动态演化的“电影”,首次发现法拉第旋转量的奇异演化行为,即在前36天里法拉第旋转出现无规律的短时标演化,而在随后的18天里几乎不变;二是首次发现快速射电暴的猝灭现象,即FRB 20201124A从保持高事件率态到在74小时内突然熄灭;三是在FRB 20201124A中首次探测到与之前所有快速射电暴都显著不同的高圆偏振度脉冲,其最高值达到75%;四是首次发现频率依赖的偏振振荡现象。
科研团队表示,这些现象都说明,在FRB 20201124A这个快速射电暴周围1个天文单位的环境是非常复杂并且在动态演化着。通过偏振振荡现象,他们对该快速射电暴周围1个天文单位的环境的磁场给出直接限制,达到高斯量级以上。
期待早日揭示快速射电暴物理起源
FAST快速射电暴优先和重大项目科研团队还通过国际合作,使用美国10米凯克光学望远镜(Keck)对FRB 20201124A的宿主星系进行深度观测,发现其宿主星系是约银河系尺度大小、富金属的棒旋星系,并且发现它所在区域恒星密度较低,处于旋臂之间,距离星系中心中等距离,表明该快速射电暴并非起源于大质量恒星极端爆炸导致的超亮超新星或伽马射线暴后形成的年轻磁星。
目前,该团队近百位科研人员正紧密合作,期待找到决定快速射电暴核心物理过程和能源机制的直接观测证据,引导国际多波段联合观测,早日揭示快速射电暴的物理起源。
据了解,快速射电暴在几毫秒时间内所释放的射电波段的能量,相当于全世界当前总发电量累计几百亿年的总和。早先探测到的快速射电暴主要来自银河系外,2020年探测到来自银河系磁星(一类磁场极强的中子星)的快速射电暴,表明有一些快速射电暴可以起源于磁星,但是那些宇宙学起源的快速射电暴,尤其是那些能够重复爆发的快速射电暴的起源依然未知。此外,快速射电暴虽然有大量射电波段的观测资料,但长期以来仍缺乏对其核心区物理参数的直接观测资料。
另据国际学术期刊《自然-通讯》同步发表的相关论文,南京大学研究团队提出一个物理模型来解释观察到的FRB 20201124A特征称,该快速射电暴重复信号来自一个双星系统,有一颗磁星和一个有星盘的Be星(比太阳更热、更大、旋转更快的恒星)。他们认为,未来研究或可探测Be-X射线双星,以寻找快速射电暴的信号。(完)
编辑:林辉





